SOLUTION: A) Which term of the geometric series is: 2187, 729, 243, . . . is 1/9? B) calculate the sum of the first 5 terms?

Algebra ->  Sequences-and-series -> SOLUTION: A) Which term of the geometric series is: 2187, 729, 243, . . . is 1/9? B) calculate the sum of the first 5 terms?      Log On


   



Question 1006888: A) Which term of the geometric series is: 2187, 729, 243, . . . is 1/9?
B) calculate the sum of the first 5 terms?

Answer by Fombitz(32388) About Me  (Show Source):
You can put this solution on YOUR website!
Each term is 1/3 the previous term.
A%5Bn%5D=2187%2F3%5E%28n-1%29%29
So then,
2187%2F3%5E%28n-1%29=1%2F9
3%5E%28n-1%29=19683
n-1=log%283%2C19683%29
n-1=log%28%2819683%29%29%2Flog%28%283%29%29
n-1=9
n=10
It's the tenth term.
.
.
.
A%5Bn%5D=2187%2F3%5E%28n-1%29
A%5Bn%5D=2187%2A%281%2F3%29%5E%28n-1%29
A%5Bn%5D=2187%2A%281%2F3%29%5E%28n%29%2A%281%2F3%29%5E%28-1%29
A%5Bn%5D=6561%2A%281%2F3%29%5En
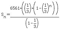
So then the partials sums are,
S%5Bn%5D=6561%2A%28%281%2F3%29%281-%281%2F3%29%5En%29%29%2F%28%281-1%2F3%29%29
S%5Bn%5D=%286561%2F2%29%2A%281-%281%2F3%29%5En%29
When n=5,
S%5B5%5D=%286561%2F2%29%281-%281%2F3%29%5E5%29
S%5B5%5D=%286561%2F2%29%281-1%2F243%29
S%5B5%5D=%286561%2F2%29%28243%2F243-1%2F243%29
S%5B5%5D=%286561%2F2%29%28242%2F243%29
S%5B5%5D=3267