Let x represent the smallest integer in any case of consecutive
integers with sum 2015.
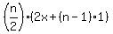
The sum of n consecutive positive integers beginning with x,
using the sum formula for an arithmetic sequence
with a1=x and d=1
Setting that equal to 2015


Multiplying both sides by 2 to clear the fraction
and simplifying:








, the smallest integer.
From 

,
we see that n, the number of terms, and 2x+n-1 make up a factor
pair of 4030.
We can factor 4030 into a pair of factors the following 8 ways:
n×(2x+n-1) = 4030, x = (4030+n-n^2)/(2n) = smallest integer
----------------------------------------
1×4030 x = 2015 <--ignore since only 1 integer, we need 2 or more
2×2015 x = 1007
5×806 x = 401
10×403 x = 197
13×310 x = 149
26×155 x = 65
31×130 x = 50
62×65 x = 2
---------------------------
total = 1871
The total of the smallest integers x is 1871
Answer: 1841
Edwin