SOLUTION: For an arithmetic sequence, find t(n) if: a. t(3)= 6.5 and s(8)=67 b. t(4)={{{ 6/sqrt(5) }}} and s(5)= {{{ 6sqrt(5) }}} Sorry, I really don't know where to start!! Please w

Algebra ->  Sequences-and-series -> SOLUTION: For an arithmetic sequence, find t(n) if: a. t(3)= 6.5 and s(8)=67 b. t(4)={{{ 6/sqrt(5) }}} and s(5)= {{{ 6sqrt(5) }}} Sorry, I really don't know where to start!! Please w      Log On


   



Question 1006190: For an arithmetic sequence, find t(n) if:
a. t(3)= 6.5 and s(8)=67
b. t(4)=+6%2Fsqrt%285%29+ and s(5)= +6sqrt%285%29+
Sorry, I really don't know where to start!!
Please write explanations if you can!

Found 2 solutions by josgarithmetic, MathTherapy:
Answer by josgarithmetic(39617) About Me  (Show Source):
You can put this solution on YOUR website!
check for the formulas in your book; but t is for term and s is for a summation. You have arithmetic sequence and series. This help is for your part (a).

t1+(n-1)d=tn, excuse the poor subscripting; and you have t1+(3-1)d=6.5.

Next facts give you s=(n/2)(t1+tn) but I really should show this to you better as
s%5B8%5D=%288%2F2%29%28t%5B1%5D%2Bt%5B8%5D%29, and you were given the value of the summation,
s%5B8%5D=%288%2F2%29%28t%5B1%5D%2Bt%5B8%5D%29=67.

You will have two equations in the two unknowns t%5B1%5D and d.

Answer by MathTherapy(10552) About Me  (Show Source):
You can put this solution on YOUR website!

For an arithmetic sequence, find t(n) if:
a. t(3)= 6.5 and s(8)=67
b. t(4)=+6%2Fsqrt%285%29+ and s(5)= +6sqrt%285%29+
Sorry, I really don't know where to start!!
Please write explanations if you can!
t%5Bn%5D+=+t%5B1%5D+%2B+%28n+-+1%29d
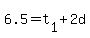
t%5B3%5D+=+t%5B1%5D+%2B+%283+-+1%29d
6.5+=+t%5B1%5D+%2B+2d_______t%5B1%5D+=+6.5+-+2d ------ eq (i)
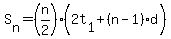
S%5Bn%5D+=+%28n%2F2%29%282t%5B1%5D+%2B+%28n+-+1%29d%29
S%5B8%5D+=+%288%2F2%29%282t%5B1%5D+%2B+%288+-+1%29d%29
67+=+4%282t%5B1%5D+%2B+7d%29
67+=+8t%5B1%5D+%2B+28d ------------ eq (ii)
67+=+8%286.5+-+2d%29+%2B+28d ----- Substituting 6.5 - 2d for t%5B1%5D in eq (ii)
67+=+52+-+16d+%2B+28d
67 - 52 = 12d
15 = 12d
15%2F12+=+d, or d+=+5%2F4
t%5B1%5D+=+6.5+-+2+%2A+%285%2F4%29 --------- Substituting 5%2F4 for d in eq (i)
t%5B1%5D+=+6.5+-+5%2F2
t%5B1%5D+=+6.5+-+2.5
t%5B1%5D+=+4
t%5Bn%5D+-+t%5B1%5D+%2B+%28n+-+1%29d
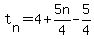
t%5Bn%5D+=+4+%2B+%28n+-+1%29%285%2F4%29 ------ Substituting 5%2F4 for d, and 4 for t%5B1%5D in equation of an AP
t%5Bn%5D+=+4+%2B+%285%2F4%29n+-+5%2F4%29
t%5Bn%5D+=+4+%2B+5n%2F4+-+5%2F4
t%5Bn%5D+=+5n%2F4+%2B+2%263%2F4
highlight_green%28t%5Bn%5D+=+%285%2F4%29n+%2B+2%263%2F4%29
Apply the same concept to b.