SOLUTION: the length of a rectangle is 7 feet less than twice the width. find the deminsions if the area is 99 square feet?

Algebra ->  Rectangles -> SOLUTION: the length of a rectangle is 7 feet less than twice the width. find the deminsions if the area is 99 square feet?      Log On


   



Question 881356: the length of a rectangle is 7 feet less than twice the width. find the deminsions if the area is 99 square feet?
Answer by Fombitz(32388) About Me  (Show Source):
You can put this solution on YOUR website!
L=W-7
For a rectangle,
A=L%2AW
%28W-7%29W=99
W%5E2-7W=99
W%5E2-7W-99=0
%28W%5E2-7W%2B49%2F4%29-49%2F25-99=0
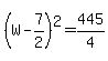
%28W-7%2F2%29%5E2-49%2F4-396%2F4=0
%28W-7%2F2%29%5E2=445%2F4
W-7%2F2=0+%2B-+sqrt%28445%29%2F2
W=7%2F2+%2B-+sqrt%28445%29%2F2
Only a positive width makes sense in this situation,
W=7%2F2%2B+sqrt%28445%29%2F2
Then,
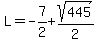
L=7%2F2%2Bsqrt%28445%29%2F2-7
L=-7%2F2%2Bsqrt%28445%29%2F2