SOLUTION: Hello! I have a problem that I am having trouble with on my algebra homework... If you would help that would be awesome! Here it is: What is the perimeter of a rectangle that

Algebra ->  Rectangles -> SOLUTION: Hello! I have a problem that I am having trouble with on my algebra homework... If you would help that would be awesome! Here it is: What is the perimeter of a rectangle that      Log On


   



Question 857266: Hello! I have a problem that I am having trouble with on my algebra homework... If you would help that would be awesome!
Here it is:

What is the perimeter of a rectangle that has a height of 4/x+1 and a width of 3/x-2
Thank you!

Answer by mananth(16946) About Me  (Show Source):
You can put this solution on YOUR website!
4/x+1 and a width of 3/x-2

4/(x+1) and a width of 3/(x-2)
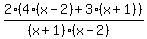
Perimeter = 2(l+h)
=2%284%2F%28x%2B1%29%2B+3%2F%28x-2%29%29

=2%284%28x-2%29%2B3%28x%2B1%29%29%2F%28%28x%2B1%29%28x-2%29%29

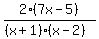
%282%284x-8%2B3x%2B3%29%29%2F%28%28x%2B1%29%28x-2%29%29

2%287x-5%29%2F%28%28x%2B1%29%28x-2%29%29