SOLUTION: A rectangle with its length x2 its width and a diagonal = 15 in. What is the length of the width? Does this diagonal form 2-congruent 30-60-90 triangles?

Algebra ->  Rectangles -> SOLUTION: A rectangle with its length x2 its width and a diagonal = 15 in. What is the length of the width? Does this diagonal form 2-congruent 30-60-90 triangles?      Log On


   



Question 701045: A rectangle with its length x2 its width and a diagonal = 15 in. What is the length of the width?
Does this diagonal form 2-congruent 30-60-90 triangles?

Answer by KMST(5367) About Me  (Show Source):
You can put this solution on YOUR website!
If the length of the rectangle is two times the width of the rectangle, the diagonal does not split the rectangle into 30-60-90 triangles.
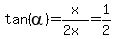
The diagonal forms two congruent right triangles, but the smaller angle measures less than 30%5Eo.

tan%28alpha%29=x%2F%282x%29=1%2F2 --> alpha=26.565%5Eo (rounded)
x=15%2Asin%28alpha%29=15%2A0.447214=6.7 in (rounded)

A diagonal splits a rectangle into two congruent 30-60-90 triangles, if, and only if, the diagonal is twice as long as the width of the rectangle.
In such a rectangle,

sin%2830%5Eo%29=w%2F15=1%2F2 --> W=%281%2F2%29%2A15=7.5 in
L=15%2Acos%2830%5Eo%29=15%2A0.866=12.99 in (rounded)