SOLUTION: A rectangle is such that the lenghts of two of its adjacent sides differ by 5cm. A similar rectangle measures 18cm by 28cm. Find the lenght and breadth of the first rectangle.

Algebra ->  Rectangles -> SOLUTION: A rectangle is such that the lenghts of two of its adjacent sides differ by 5cm. A similar rectangle measures 18cm by 28cm. Find the lenght and breadth of the first rectangle.      Log On


   



Question 534572: A rectangle is such that the lenghts of two of its adjacent sides differ by 5cm. A similar rectangle measures 18cm by 28cm. Find the lenght and breadth of the first rectangle.
Answer by KMST(5328) About Me  (Show Source):
You can put this solution on YOUR website!
Let x be the breadth of the unknown similar rectangle.
The length would be x+5.
Because they are similar, the ratios of corresponding sides are the same.
We could state the the ratio of lengths and the ratio of breadth is the same:
%28x%2B5%29%2F28=x%2F18
We eliminate pesky denominators by multiplying both sided times a common multiple of the denominators,
254=4%2A7%2A9
to get
9%28x%2B5%29=14x --> 9x%2B45=14x --> 45=5x --> x=9
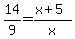
Otherwise we could state the the ratio of length to breadth is the same for both rectangles:
28%2F18=14%2F9 and 14%2F9=%28x%2B5%29%2Fx
Multiplying both sides by 9x would theoretically risk introducing x=0 as an extraneous solution, but x=0 would be rejected even if it was a solution of the equations. So we do it without worrying to get
14x=+9%28x%2B5%29
which is the same equation we solved above, of course.
The breadth of the mystery rectangle is 9 cm, and its length is
9cm%2B5cm=14cm