Question 195594: A)If the width of a rectangle is 1 inch less than its length and the diagonal is 1 inch longer than its length, find the length and the width.
B)What is the length of the diagonal of a rectangular bill board with sides of lengths 5 ft and 12 ft.
Answer by MathTherapy(10559) (Show Source):
You can put this solution on YOUR website! A.
Let the length of the rectangle be L
Then the width of the rectangle is L – 1, since width is 1” less that its length
Also, since its diagonal is 1” longer than its length, then its diagonal = L + 1
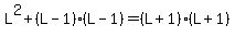
Using Pythagorean, we get:



L(L – 4) = 0
L = 0, or L = 4.
Since the length CANNOT be 0, we reject L = 0, and therefore, L = 4.
Since L, or length = 4, then the width = L – 1 = 4 – 1 = 3.
B.
The diagonal of a rectangle that has sides of length 5’ and 12’ will be 13’, based on the 5-12-13 triangle.
OR
Using Pythagorean, we get:
13 = D
Therefore, the diagonal of the rectangle is 13’.
|
|
|