SOLUTION: Ok, the problem below I just can't figure out! Can you please help me? can you show me how to get the answer?
The area of a rectangle is 80 square feet and its length is 1 foot m
Algebra ->
Rectangles
-> SOLUTION: Ok, the problem below I just can't figure out! Can you please help me? can you show me how to get the answer?
The area of a rectangle is 80 square feet and its length is 1 foot m
Log On
Question 191065: Ok, the problem below I just can't figure out! Can you please help me? can you show me how to get the answer?
The area of a rectangle is 80 square feet and its length is 1 foot more than its width. Find its width.
Thank you for your time!
G.E.P Answer by Alan3354(69443) (Show Source):
You can put this solution on YOUR website! Ok, the problem below I just can't figure out! Can you please help me? can you show me how to get the answer?
The area of a rectangle is 80 square feet and its length is 1 foot more than its width. Find its width.
-----------
Area = l*w
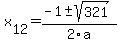
A = w*(w+1) = 80