SOLUTION: The perimeter of a rectangle is 24 centimeters. The length is 4 centimeters less than 7 times the width. Find the dimensions of the rectangle.

Algebra ->  Rectangles -> SOLUTION: The perimeter of a rectangle is 24 centimeters. The length is 4 centimeters less than 7 times the width. Find the dimensions of the rectangle.       Log On


   



Question 1065754: The perimeter of a rectangle is 24 centimeters. The length is 4 centimeters less than 7 times the width. Find the dimensions of the rectangle.
Answer by josgarithmetic(39618) About Me  (Show Source):
You can put this solution on YOUR website!
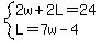
Length L
Width w
system%282w%2B2L=24%2CL=7w-4%29

w%2B%287w-4%29=12
.
.



-
w=2