SOLUTION: given that the function f(x)= (2x+1)/(x-1) is one to one. Find the inverse function.
I got the answer, I think...but am not sure. and I amsupposed to give the domain and range of
Algebra ->
Rational-functions
-> SOLUTION: given that the function f(x)= (2x+1)/(x-1) is one to one. Find the inverse function.
I got the answer, I think...but am not sure. and I amsupposed to give the domain and range of
Log On
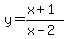
Question 997307: given that the function f(x)= (2x+1)/(x-1) is one to one. Find the inverse function.
I got the answer, I think...but am not sure. and I amsupposed to give the domain and range of both f(x) and f^-1(x)
The answer i came up with as the inverse is x+1/x-1. I found this by solving for x. Answer by MathLover1(20850) (Show Source):