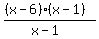
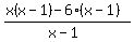
SOLUTION: x^2-8x/x-1 - x+6/1-x
Algebra
->
Rational-functions
-> SOLUTION: x^2-8x/x-1 - x+6/1-x
Log On
Algebra: Rational Functions, analyzing and graphing
Section
Solvers
Solvers
Lessons
Lessons
Answers archive
Answers
Click here to see ALL problems on Rational-functions
Question 994229
:
x^2-8x/x-1 - x+6/1-x
Answer by
MathLover1(20850)
(
Show Source
):
You can
put this solution on YOUR website!
...write denominator
as