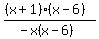
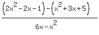
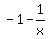
SOLUTION: 2x^2-2x-1/6x-x^2 - x^2+3x+5/6x-x^2
Algebra
->
Rational-functions
-> SOLUTION: 2x^2-2x-1/6x-x^2 - x^2+3x+5/6x-x^2
Log On
Algebra: Rational Functions, analyzing and graphing
Section
Solvers
Solvers
Lessons
Lessons
Answers archive
Answers
Click here to see ALL problems on Rational-functions
Question 994227
:
2x^2-2x-1/6x-x^2 - x^2+3x+5/6x-x^2
Answer by
MathLover1(20850)
(
Show Source
):
You can
put this solution on YOUR website!