SOLUTION: Please simplify the rational expression: ((x^3) - (5*(x^2)) - (3*x) + 15) / (x^2 - (8*x) + 15) Thank you, Steve

Algebra ->  Rational-functions -> SOLUTION: Please simplify the rational expression: ((x^3) - (5*(x^2)) - (3*x) + 15) / (x^2 - (8*x) + 15) Thank you, Steve      Log On


   



Question 971089: Please simplify the rational expression:
((x^3) - (5*(x^2)) - (3*x) + 15) / (x^2 - (8*x) + 15)
Thank you,
Steve

Answer by ankor@dixie-net.com(22740) About Me  (Show Source):
You can put this solution on YOUR website!
Please simplify the rational expression:
((x^3) - (5*(x^2)) - (3*x) + 15) / (x^2 - (8*x) + 15)
:
%28x%5E3+-+5x%5E2+-+3x+%2B+15%29%2F%28x%5E2+-+8x+%2B+15%29
Group factor the numerator, factor the denominator
%28x%5E3+-+3x+-+5x%5E2+%2B+15%29%2F%28%28x-5%29%28x-3%29%29
Factor out x, factor out -5
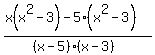
%28x%28x%5E2+-+3%29++-+5%28x%5E2+-+3%29%29%2F%28%28x-5%29%28x-3%29%29
Factor out (x^2-3)
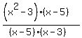
%28%28x%5E2-3%29%28x-5%29%29%2F+%28%28x-5%29%28x-3%29%29
Cancel (x-5)
%28x%5E2-3%29%2F%28x-3%29