Although the other tutor got the right answer, she is incorrect
for multiplying both sides of the inequality by the variable x.
That's because a variable x might not be positive, and if you
multiply through by a negative, that would reverse the > to <.
Also she did not use test values on the intervals.
Here is a correct solution:
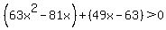
Solve the following inequality 63x-32>63/x


Get 0 on the right side by subtracting
from both sides:


Get the LCD = x on the left side:




Factor the numerator on the left:

We find all the critical numbers. They are the values
obtained by setting the numerator=0 and the denominator=0
The numerator (7x-9)(9x+7) when set equal to 0 gives
critical numbers
and
The denominator x when set equal to 0 gives the critical
number 0.
We draw a number line and mark the critical numbers on it,
in order from smallest to largest.
-----o------o--------------------o--------------
-7/9 0 9/7
We have 4 intervals to test by substituting a test point in the interval:
1. Left of
, which is
2. Between
and
, which is
3. Between
and
, which is
4. Right of
, which is
1. The easiest number in
to test in the original is x = -1








That's false so the solution set does not include
2. The easiest number in
to test in the original is x = -.1








That's true so the solution set does include
3. The easiest number in
to test in the original is x = 1








That's true so the solution set does include
3. The easiest number in
to test in the original is x = 2








That's true so the solution set does include
None of the critical numbers are part of the solution since the
symbol is > and not ≥.
So the solution set is:
a.) Is the point x=0 included in the solution set of the inequality?
No because if we substitute x=0,


It is meaningless to divide by zero.
b.) are the other finite end points of the interval included in the solution set?
No because the symbol is > and not ≥
c.) what is the solution set? (in interval notation)
Edwin