SOLUTION: The denominator of a fraction exceeds the numerator by 2. If 1 is added to the numerator and 2 subtracted from the denominator, the sum of the original fraction and the new fractio

Algebra ->  Rational-functions -> SOLUTION: The denominator of a fraction exceeds the numerator by 2. If 1 is added to the numerator and 2 subtracted from the denominator, the sum of the original fraction and the new fractio      Log On


   



Question 964559: The denominator of a fraction exceeds the numerator by 2. If 1 is added to the numerator and 2 subtracted from the denominator, the sum of the original fraction and the new fraction is equal to 2. Find the original fraction.
Answer by josgarithmetic(39630) About Me  (Show Source):
You can put this solution on YOUR website!
highlight_green%28n%2Fd%29 the original fraction.

highlight%28system%28d=n%2B2%2C%28n%2B1%29%2F%28d-2%29%2Bn%2Fd=2%29%29

Solve the system for n and d.

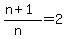
%28n%2B1%29%2F%28%28n%2B2%29-2%29=2

%28n%2B1%29%2F%28n%29=2

n%2B1=2n

Continue and finish.