SOLUTION: Can someone help me with this question please: Simplify the complex rational expression 3x/x-4 +1 / 15/x^2-16 + 1
Algebra ->
Rational-functions
-> SOLUTION: Can someone help me with this question please: Simplify the complex rational expression 3x/x-4 +1 / 15/x^2-16 + 1
Log On
You can put this solution on YOUR website! Simplify the complex rational expression:
Assume you mean:
-------------
:
Put upper and lower fractions over single denominators:
------------- =
:
Combine like terms:
-------------
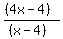
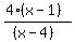
:
Invert the dividing fraction and multiply....then factor.... cancel (x-1), cancel (x-4),: * = * =
: