SOLUTION: Write the partial fraction decomposition of the rational expression 6x^3+6x^2 +28x+33/(x^2+5)^3

Algebra ->  Rational-functions -> SOLUTION: Write the partial fraction decomposition of the rational expression 6x^3+6x^2 +28x+33/(x^2+5)^3      Log On


   



Question 935920: Write the partial fraction decomposition of the rational expression
6x^3+6x^2 +28x+33/(x^2+5)^3

Answer by josgarithmetic(39620) About Me  (Show Source):
You can put this solution on YOUR website!
removed solution because it was wrong;

You really might've mean to include several terms as the numerator, meaning
%286x%5E3%2B6x%5E2+%2B28x%2B33%29%2F%28x%5E2%2B5%29%5E3

The work done on paper was very very lengthy. One would go with



Raising to higher terms, comparing corresponding parts after simplification would indicate values:
A=0
B=0
C=6
D=6
E=-2
F=3
And you would want to see that whole process, but like said, very lengthy set of steps on paper, and so very likely to make type-written mistakes on attempt to put the solution process here.

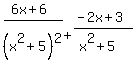
You will be able to substitute the values to show
%286x%2B6%29%2F%28x%5E2%2B5%29%5E2%2B%28-2x%2B3%29%2F%28x%5E2%2B5%29

You lost one partial expression because of the A=0 and B=0.