SOLUTION: Use Pascal's Triangle to expand and simplify (a) (3x+2y)^3 (b) (x + 2/x)^5 Thank you

Algebra ->  Rational-functions -> SOLUTION: Use Pascal's Triangle to expand and simplify (a) (3x+2y)^3 (b) (x + 2/x)^5 Thank you      Log On


   



Question 928075: Use Pascal's Triangle to expand and simplify
(a) (3x+2y)^3
(b) (x + 2/x)^5

Thank you

Answer by MathLover1(20850) About Me  (Show Source):
You can put this solution on YOUR website!
1.
Each line is also the powers (exponents) of x:
%283x%29%5E0=1 (the first line is just a "1")
+%283x%29%5E1=1 1 (the second line is "1" and "1")
%283x%29%5E2=1 2 1 (the third line is "1", "2", "1")
+%283x%29%5E3=1 3 3 1 (the fourth line is "1", "3", "3","1") ...this line is your line
so, %283x%2B2y%29%5E3+ will be:

1%2A+%283x%29%5E3%2B3%2A%283x%29%5E2%282y%29%2B3%2A%283x%29%282y%29%5E2%2B1%2A%282y%29%5E3
27x%5E3%2B3%2A9%2A2x%5E2y%2B3%2A3%2A4xy%5E2%2B8y%5E3
27x%5E3%2B54x%5E2y%2B36xy%5E2%2B8y%5E3


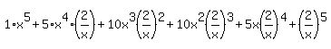
2.
%28x+%2B+%282%2Fx%29%29%5E5

%28x%29%5E0=1 (the first line is just a "1")
+%28x%29%5E1=1 1 (the second line is "1" and "1")
%28x%29%5E2=1 2 1 (the third line is "1", "2", "1")
+%28x%29%5E3=1 3 3 1 (the fourth line is "1", "3", "3","1")

+%28x%29%5E4=1 4 6 4 1...the 5th line

+%28x%29%5E5=1 5 10 10 5 1...the 6th line-your line



x%5E5%2B10x%5E3%2B40x%2B80%2Fx%2B80%2Fx%5E3%2B32%2Fx%5E5

x%5E5%2B32%2Fx%5E5%2B10x%5E3%2B80%2Fx%5E3%2B40x