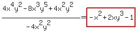
SOLUTION: (4x^4y^2-8x^3y^5+4x^2y^2) ÷ (-4x^2y^2)
Algebra
->
Rational-functions
-> SOLUTION: (4x^4y^2-8x^3y^5+4x^2y^2) ÷ (-4x^2y^2)
Log On
Algebra: Rational Functions, analyzing and graphing
Section
Solvers
Solvers
Lessons
Lessons
Answers archive
Answers
Click here to see ALL problems on Rational-functions
Question 924287
:
(4x^4y^2-8x^3y^5+4x^2y^2) ÷ (-4x^2y^2)
Answer by
Fombitz(32388)
(
Show Source
):
You can
put this solution on YOUR website!