SOLUTION: I need to solve and graph this quadratic function but can't. Here it is y = x^2 - 5x + 4

Algebra ->  Rational-functions -> SOLUTION: I need to solve and graph this quadratic function but can't. Here it is y = x^2 - 5x + 4      Log On


   



Question 911126: I need to solve and graph this quadratic function but can't. Here it is y = x^2 - 5x + 4
Answer by josgarithmetic(39627) About Me  (Show Source):
You can put this solution on YOUR website!
http://www.algebra.com/my/Completing-the-Square-to-Solve-General-Quadratic-Equation.lesson?content_action=show_dev

Find x intercepts by solving the equation in standard form with y=0.
Find y intercept by just evaluating y for x=0.
The positive coefficient on the degree-2 term means that the vertex is a minimum.
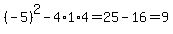
Discriminant, %28-5%29%5E2-4%2A1%2A4=25-16=9 is a perfect square and a positive value, telling you that the graph has two x-axis intercepts and they are integers.

graph%28300%2C300%2C-6%2C10%2C-6%2C10%2Cx%5E2-5x%2B4%29