SOLUTION: Dear Tutor, Please help me solve the following question. Consider the graphs of f(x) = 1/2 (x-2)^2 + 1 and g(x)=2x^2-6x-3. (there's an accompanying graph, where these 2 curv

Algebra ->  Rational-functions -> SOLUTION: Dear Tutor, Please help me solve the following question. Consider the graphs of f(x) = 1/2 (x-2)^2 + 1 and g(x)=2x^2-6x-3. (there's an accompanying graph, where these 2 curv      Log On


   



Question 909625: Dear Tutor,
Please help me solve the following question.
Consider the graphs of f(x) = 1/2 (x-2)^2 + 1 and g(x)=2x^2-6x-3.
(there's an accompanying graph, where these 2 curves meet at A (0.-3) and B (4, 5 (I think--don't know if the graph is drawn to scale). The f(x) graph intercepts the x-axis at point C, around 0.75, I think)
a. Write an equation that you could solve using points A and B. What are the solutions to our equation? Substitute them into your equation to show that they work.
b. Are there any solutions to the equation in part
(a) that do not appear on the graph? Explain.
c. Write an equation that you could solve using point C. What does the solution to your equation appear to be? Again, substitute your solution into the equation. How close was your estimate?
d. What are the domains and ranges of f(x) and g(x)?
Thank you so much!!!! Also, can you please let me know what topic this would fall under?

Answer by Fombitz(32388) About Me  (Show Source):
You can put this solution on YOUR website!
graph%28300%2C300%2C-10%2C10%2C-10%2C10%2C%281%2F2%29%28x-2%29%5E2%2B1%2C2x%5E2-6x-3%29
.
.
.
Set the two functions equal to each other and solve for x.
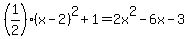
%281%2F2%29%28x-2%29%5E2%2B1=2x%5E2-6x-3
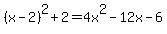
%28x-2%29%5E2%2B2=4x%5E2-12x-6
x%5E2-4x%2B4%2B2=4x%5E2-12x-6
3x%5E2-8x-10=0
3%28x%5E2-%288%2F3%29x%29-12=0
3%28x%5E2-%288%2F3%29x%2B16%2F9%29-10=3%2816%2F9%29
3%28x-4%2F3%29%5E2=48%2F9%2B108%2F9
3%28x-4%2F3%29%5E2=156%2F9
%28x-4%2F3%29%5E2=52%2F9
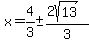
x-4%2F3=0+%2B-+sqrt%2852%29%2F3
x=4%2F3+%2B-+%282sqrt%2813%29%29%2F3
Now that you have the x coordinates of the intersection point, plug the value into either equation and solve for the y coordinates.
.
.
.
Not sure I understand what C is.
Function f%28x%29 does not cross the x-axis.
It's vertex is at (2,1) and it opens upwards.
If you meant g%28x%29 then,
g%28x%29=0
2x%5E2-6x-3=0
2%28x%5E2-3x%29-3=0
2%28x%5E2-3x%2B9%2F4%29=2%289%2F4%29%2B12%2F4
2%28x-3%2F2%29%5E2=30%2F4
%28x-3%2F2%29%5E2=15%2F4
x-3%2F2=0+%2B-+sqrt%2815%29%2F2
x=3%2F2+%2B-+sqrt%2815%29%2F2