SOLUTION: Solve for x. 1/(b+1)+1/(b-1)=2/(b^2-1)
Algebra
->
Rational-functions
-> SOLUTION: Solve for x. 1/(b+1)+1/(b-1)=2/(b^2-1)
Log On
Algebra: Rational Functions, analyzing and graphing
Section
Solvers
Solvers
Lessons
Lessons
Answers archive
Answers
Click here to see ALL problems on Rational-functions
Question 909041
:
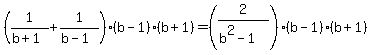
Solve for x. 1/(b+1)+1/(b-1)=2/(b^2-1)
Answer by
josgarithmetic(39620)
(
Show Source
):
You can
put this solution on YOUR website!
....... you mean, "Solve for b."
LCD is b^2-1, the difference of squares as found in the denominators on the left member.