SOLUTION: Find equation of a rational function such that Vertical Asymptote =1, Slant Asymptote is y=x, y intercept at 2 and x intercepts at -1 and 2.
Algebra ->
Rational-functions
-> SOLUTION: Find equation of a rational function such that Vertical Asymptote =1, Slant Asymptote is y=x, y intercept at 2 and x intercepts at -1 and 2.
Log On
Question 892427: Find equation of a rational function such that Vertical Asymptote =1, Slant Asymptote is y=x, y intercept at 2 and x intercepts at -1 and 2. Answer by lwsshak3(11628) (Show Source):
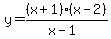
You can put this solution on YOUR website! Find equation of a rational function such that Vertical Asymptote =1, Slant Asymptote is y=x, y intercept at 2 and x intercepts at -1 and 2.
***
see graph below: