SOLUTION: i have this 1 more question for all x not equal to -4, wich of the following is equivalent to x^2 +12x+32/x+4 and the options are: a)x+3 b)x+8 c)x+11 d)x+16 how do i solve

Algebra ->  Rational-functions -> SOLUTION: i have this 1 more question for all x not equal to -4, wich of the following is equivalent to x^2 +12x+32/x+4 and the options are: a)x+3 b)x+8 c)x+11 d)x+16 how do i solve       Log On


   



Question 88886: i have this 1 more question
for all x not equal to -4, wich of the following is equivalent to x^2 +12x+32/x+4
and the options are:
a)x+3
b)x+8
c)x+11
d)x+16
how do i solve it??

Found 2 solutions by stanbon, jim_thompson5910:
Answer by stanbon(75887) About Me  (Show Source):
You can put this solution on YOUR website!
x+8
Cheers,
Stan H.

Answer by jim_thompson5910(35256) About Me  (Show Source):
You can put this solution on YOUR website!
%28x%5E2+%2B12x%2B32%29%2F%28x%2B4%29

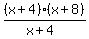
%28x%2B4%29%28x%2B8%29%2F%28x%2B4%29 Factor the numerator (note: if you need help with factoring, check out this solver)

cross%28%28x%2B4%29%29%28x%2B8%29%2Fcross%28%28x%2B4%29%29 Cancel like terms

So we're left with x%2B8

So the answer is B)