SOLUTION: 1/x-1/(x+1)=3

Algebra ->  Rational-functions -> SOLUTION: 1/x-1/(x+1)=3      Log On


   



Question 882371: 1/x-1/(x+1)=3
Answer by Fombitz(32388) About Me  (Show Source):
You can put this solution on YOUR website!
1/x-1/(x+1)=3|
Multiply both sides by %28x%28x%2B1%29%29
x%2B1-x=3x%28x%2B1%29
1=3x%5E2%2B3x
3x%5E2%2B3x-1=0
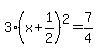
3%28x%5E2%2Bx%29=1
3%28x%5E2%2Bx%2B1%2F4%29=1%2B3%2F4
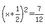
3%28x%2B1%2F2%29%5E2=7%2F4
%28x%2B1%2F2%29%5E2=7%2F12
x%2B1%2F2=0+%2B-+sqrt%287%2F12%29
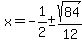
x=-1%2F2+%2B-+sqrt%287%2F12%29
x=-1%2F2+%2B-+sqrt%2884%29%2F12
highlight_green%28x=-1%2F2+%2B-+sqrt%2821%29%2F6%29