SOLUTION: Good evening, This is more of a solving polynomial equations question. Can someone help me simplify this equation 4/(x+1) + 3x /(x^2+x). The answer I received was 7x/x+1, but I a

Algebra ->  Rational-functions -> SOLUTION: Good evening, This is more of a solving polynomial equations question. Can someone help me simplify this equation 4/(x+1) + 3x /(x^2+x). The answer I received was 7x/x+1, but I a      Log On


   



Question 881780: Good evening,
This is more of a solving polynomial equations question. Can someone help me simplify this equation 4/(x+1) + 3x /(x^2+x). The answer I received was 7x/x+1, but I am not sure of this answer because I think I did something wrong during my process. Please help me with this question. Thank you in advance.

Found 3 solutions by jim_thompson5910, josmiceli, josgarithmetic:
Answer by jim_thompson5910(35256) About Me  (Show Source):
You can put this solution on YOUR website!
The denominators are NOT the same. So you CANNOT add the fractions yet.


You must make the denominators equal to the same expression so you can add the fractions.


The first denominator is x+1 and the second denominator is x^2+x=x(x+1)


Notice how the first denominator is missing an x out front


So we multiply top and bottom of the first fraction by x


After doing this, we can finally add the fractions


-------------------------------------------------------


4%2F%28x%2B1%29+%2B+%283x%29%2F%28x%5E2%2Bx%29


4%2F%28x%2B1%29+%2B+%283x%29%2F%28x%28x%2B1%29%29 Factor the second denominator.


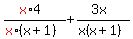
%28red%28x%29%2A4%29%2F%28red%28x%29%28x%2B1%29%29+%2B+%283x%29%2F%28x%28x%2B1%29%29 multiply top and bottom of the first fraction by x


%284x%29%2F%28x%28x%2B1%29%29+%2B+%283x%29%2F%28x%28x%2B1%29%29


%284x%2B3x%29%2F%28x%28x%2B1%29%29 The denominators are finally the same, so we add the numerators over the LCD.


%287x%29%2F%28x%28x%2B1%29%29


%287%2Ahighlight%28x%29%29%2F%28highlight%28x%29%28x%2B1%29%29


%287%2Across%28x%29%29%2F%28cross%28x%29%28x%2B1%29%29


%287%29%2F%28x%2B1%29


-------------------------------------------------------


So 4%2F%28x%2B1%29+%2B+%283x%29%2F%28x%5E2%2Bx%29 simplifies to %287%29%2F%28x%2B1%29


So you were close.

Answer by josmiceli(19441) About Me  (Show Source):
You can put this solution on YOUR website!
+4%2F%28+x%2B1+%29+%2B+%283x%29+%2F+%28+x%5E2+%2B+x+%29+
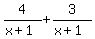
+4%2F%28+x%2B1+%29+%2B+%283x%29+%2F+%28+x%2A%28+x%2B1+%29+%29+
+4%2F%28+x%2B1+%29+%2B+3+%2F+%28+x%2B1+%29+
+%28+4%2B3+%29+%2F+%28+x%2B1+%29+
+7%2F%28+x%2B1+%29+
-----------------
A quick way to check is to plug
in a number for +x+
+x+=+7+
+4%2F%28+x%2B1+%29+%2B+%283x%29+%2F+%28+x%5E2+%2B+x+%29+
+4%2F%28+7%2B1+%29+%2B+%283%2A7%29+%2F+%28+7%5E2+%2B+7+%29+
+4%2F8+%2B+21%2F56+
+28%2F56+%2B+21%2F56+=+49%2F56+
+49%2F56+=+7%2F8+
-------------------
and
+7%2F%28+x%2B1+%29+
+7%2F%28+7%2B1+%29+
+7%2F8+
OK


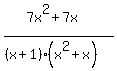
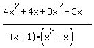
Answer by josgarithmetic(39617) About Me  (Show Source):