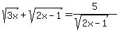
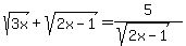
SOLUTION: Solve for x; {{{sqrt(3x)+sqrt(2x-1)= 5/(sqrt(2x-1))}}}

Algebra ->  Rational-functions -> SOLUTION: Solve for x; {{{sqrt(3x)+sqrt(2x-1)= 5/(sqrt(2x-1))}}}       Log On


   



Question 875226: Solve for x;
sqrt%283x%29%2Bsqrt%282x-1%29=+5%2F%28sqrt%282x-1%29%29

Found 2 solutions by cigany29, MathTherapy:
Answer by cigany29(23) About Me  (Show Source):
You can put this solution on YOUR website!
sqrt%283x%29%2Bsqrt%282x-1%29=+5%2F%28sqrt%282x-1%29%29

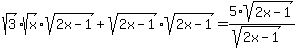
sqrt%283%29%2Asqrt%28x%29%2Asqrt%282x-1%29+%2B2x-1=5
sqrt%283%29%2Asqrt%28x%29%2Asqrt%282x-1%29=5-2x%2B1
%28sqrt%283%29%29%5E2+%2A%28sqrt%28x%29%29%5E2+%2A%28sqrt%282x-1%29%29%5E2=%286-2x%29%5E2
3%2Ax%2A%282x-1%29=36-24x%2B4x%5E2
6x%5E2-3x=4x%5E2-24x%2B36
2x%5E2+%2B21x-36=0
%282x-3%29%28x%2B12%29
x= -12 and x=3%2F2%29

Answer by MathTherapy(10839) About Me  (Show Source):
You can put this solution on YOUR website!
Solve for x;

sqrt%283x%29%2B+sqrt%282x+-+1%29=+5%2F%28sqrt%282x+-+1%29%29 
**********************************************<
- 12 is NOT a solution. It's an EXTRANEOUS root. 

Only VALID and ACCEPTABLE answer: highlight%28x+=+3%2F2%29