SOLUTION: 1/(x-6)^2=9/(x-6) what is x?
Algebra
->
Rational-functions
-> SOLUTION: 1/(x-6)^2=9/(x-6) what is x?
Log On
Algebra: Rational Functions, analyzing and graphing
Section
Solvers
Solvers
Lessons
Lessons
Answers archive
Answers
Click here to see ALL problems on Rational-functions
Question 866501
:
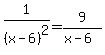
1/(x-6)^2=9/(x-6)
what is x?
Answer by
Fombitz(32388)
(
Show Source
):
You can
put this solution on YOUR website!