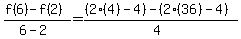
SOLUTION: Find the average rate of change f(x)=2x^2-4 from x=2 to x=6 Simplify your answer as much as possible
Algebra
->
Rational-functions
-> SOLUTION: Find the average rate of change f(x)=2x^2-4 from x=2 to x=6 Simplify your answer as much as possible
Log On
Algebra: Rational Functions, analyzing and graphing
Section
Solvers
Solvers
Lessons
Lessons
Answers archive
Answers
Click here to see ALL problems on Rational-functions
Question 856537
:
Find the average rate of change f(x)=2x^2-4 from x=2 to x=6
Simplify your answer as much as possible
Answer by
Fombitz(32388)
(
Show Source
):
You can
put this solution on YOUR website!