SOLUTION: Solve (5x+4)1/2-3x=0

Algebra ->  Rational-functions -> SOLUTION: Solve (5x+4)1/2-3x=0      Log On


   



Question 841227: Solve (5x+4)1/2-3x=0
Answer by Fombitz(32388) About Me  (Show Source):
You can put this solution on YOUR website!
+sqrt%285x%2B4%29-3x=0
+sqrt%285x%2B4%29=3x
5x%2B4=9x%5E2
9x%5E2-5x-4=0
%289x%2B4%29%28x-1%29=0
Two solutions:
9x%2B4=0
9x=-4
x=-4%2F9
Check this solution.
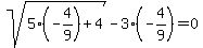
sqrt%285%28-4%2F9%29%2B4%29-3%28-4%2F9%29=0
sqrt%28-20%2F9%2B36%2F9%29%2B12%2F9=0
sqrt%2816%2F9%29%2B4%2F3=0
4%2F3%2B4%2F3=0
8%2F3=0
This is not a valid solution.
x-1=0
x=1
Checking again,
sqrt%285%281%29%2B4%29-3%281%29=0
sqrt%289%29-3=0
3-3=0
0=0
This is a valid solution.
highlight%28x=1%29