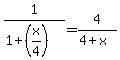
SOLUTION: Simplify 1/1+(x/4). So, it's 1 over the rest of it. The x/4 fraction is in the denominator, just to be clear.

Algebra ->  Rational-functions -> SOLUTION: Simplify 1/1+(x/4). So, it's 1 over the rest of it. The x/4 fraction is in the denominator, just to be clear.       Log On


   



Question 841028: Simplify 1/1+(x/4). So, it's 1 over the rest of it. The x/4 fraction is in the denominator, just to be clear.
Answer by ewatrrr(24785) About Me  (Show Source):
You can put this solution on YOUR website!
 
Hi,
1%2F%281%2B%28x%2F4%29%29=+4%2F%284%2Bx%29 |Multiplying numerator and Denominator by 4