SOLUTION: (x^3-x)/(x+1)+(2x^2-2)/(x+1)

Algebra ->  Rational-functions -> SOLUTION: (x^3-x)/(x+1)+(2x^2-2)/(x+1)      Log On


   



Question 836311: (x^3-x)/(x+1)+(2x^2-2)/(x+1)
Answer by jim_thompson5910(35256) About Me  (Show Source):
You can put this solution on YOUR website!
%28x%5E3-x%29%2F%28x%2B1%29%2B%282x%5E2-2%29%2F%28x%2B1%29


%28x%5E3-x%2B2x%5E2-2%29%2F%28x%2B1%29


%28x%5E3%2B2x%5E2-x-2%29%2F%28x%2B1%29


%28%28x%5E3%2B2x%5E2%29%2B%28-x-2%29%29%2F%28x%2B1%29


%28x%5E2%28x%2B2%29%2B%28-x-2%29%29%2F%28x%2B1%29


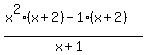
%28x%5E2%28x%2B2%29-1%28x%2B2%29%29%2F%28x%2B1%29


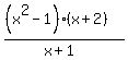
%28%28x%5E2-1%29%28x%2B2%29%29%2F%28x%2B1%29


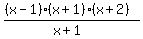
%28%28x-1%29%28x%2B1%29%28x%2B2%29%29%2F%28x%2B1%29


%28x-1%29%28x%2B2%29 <---- Answer in factored form (equivalent to the form below)


x%5E2%2Bx-2 <---- Answer expanded out (equivalent to the form above)