SOLUTION: I have the equation f(x)= (1/x)+1 I have to convert it into rational function form. What is that and how do I do it?

Algebra ->  Rational-functions -> SOLUTION: I have the equation f(x)= (1/x)+1 I have to convert it into rational function form. What is that and how do I do it?      Log On


   



Question 835265: I have the equation f(x)= (1/x)+1
I have to convert it into rational function form. What is that and how do I do it?

Answer by Fombitz(32388) About Me  (Show Source):
You can put this solution on YOUR website!
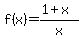
Find a common denominator for all terms.
f%28x%29=%281%2Fx%29%2B1
f%28x%29=%281%2Fx%29%2B%28x%2Fx%29
f%28x%29=%281%2Bx%29%2Fx