SOLUTION: I have read my book a hundred times and I can figure out this problem... Find and simplify the difference quotient of f, {{{ (f(x+h)-f(x)) / h }}} h NOT =0 for the function {{{

Algebra ->  Rational-functions -> SOLUTION: I have read my book a hundred times and I can figure out this problem... Find and simplify the difference quotient of f, {{{ (f(x+h)-f(x)) / h }}} h NOT =0 for the function {{{      Log On


   



Question 828490: I have read my book a hundred times and I can figure out this problem...
Find and simplify the difference quotient of f, +%28f%28x%2Bh%29-f%28x%29%29+%2F+h+ h NOT =0 for the function
+F%28x%29+=+1+%2F+2x+

Answer by LinnW(1048) About Me  (Show Source):
You can put this solution on YOUR website!
+%28f%28x%2Bh%29-f%28x%29%29+%2F+h+ =
%281%2F%282%28x%2Bh%29%29-1%2F%282%28x%29%29%29%2Fh=
%28%281%2F%282%28x%2Bh%29%29%29%29%2A%281%2Fh%29-%28%281%2F%282%28x%29%29%29%2A%281%2Fh%29%29
%28%281%2F%282h%28x%2Bh%29%29%29%29-%28%281%2F%282h%28x%29%29%29%29
revise to common denominator
%28%281%2F%282h%28x%2Bh%29%29%29%2A%28x%2Fx%29%29-%28%281%2F%282h%28x%29%29%2A%28x%2Bh%29%2F%28x%2Bh%29%29%29
%28%28x-%28x%2Bh%29%29%2F%282hx%2A%28x%2Bh%29%29%29%29
%28h%2F%282hx%2A%28x%2Bh%29%29%29%29
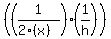
%281%2F%282x%2A%28x%2Bh%29%29%29%29
as h approaches zero
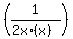
%281%2F%282x%2A%28x%29%29%29%29
%281%2F%282x%5E2%29%29%29