SOLUTION: Solve (x)/(x^2-1)+(2)/(x+1)=(1)+(1)/(2x-2) Please I need help with this as soon as possible. Thank you!

Algebra ->  Rational-functions -> SOLUTION: Solve (x)/(x^2-1)+(2)/(x+1)=(1)+(1)/(2x-2) Please I need help with this as soon as possible. Thank you!      Log On


   



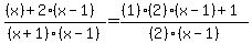
Question 826180: Solve
(x)/(x^2-1)+(2)/(x+1)=(1)+(1)/(2x-2)
Please I need help with this as soon as possible. Thank you!

Found 2 solutions by Seutip, Alan3354:
Answer by Seutip(231) About Me  (Show Source):
Answer by Alan3354(69443) About Me  (Show Source):
You can put this solution on YOUR website!
Where the other tutor stopped:
0=2x%5E2-5x%2B3
(2x - 3)*(x - 1) = 0
x = 1
x = 3/2