Question 818929: would you mind checking my work please?
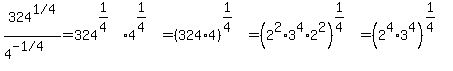
324^1/4 over 4^-1/4
you would bring 4^-1/4 up to the numerator because you cannot have a negative exponent
so you get
324^1/4 times 4^1/4
and you simplify
to get 48 times the cubed root of 2
Answer by KMST(5328) (Show Source):
You can put this solution on YOUR website! 
Now, I could write it as ,
but I prefer to write it with the fractional exponent.
At this point, I start factoring.
I know that ,
but I have to work a bit to factor .
So I try dividing it by and see that
324 ÷ 2 = 162 and 162 ÷ 2 = 81,
so ,
and since I know that ,
I can write the prime factorization as

So
= .
You may prefer to write it as
for short.
(I just wrote it as I thought about it, and as I calculated it with pencil and paper. With a calculator, I can calculate ,
and , but I prefer to factor and use paper, because that way there is no chance of pressing the wrong key).
|
|
|