Question 813636: State the intercepts and asymptotes for f and f-1
f(x)= (4^x-2)-3
Answer by jsmallt9(3758) (Show Source):
You can put this solution on YOUR website! First, please put parentheses around exponents, especially if they are more than just a positive integer or variable. What you posted meant:

but I think you meant:

Problems that are clearly posted are more likely to get a quick response.
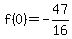
To find the y-intercept of f(x), make the x equal to zero:




Y-intercept: (0, -47/16)
To find the x-intercept(s), make the y be zero:







X-intercept: ( , 0)
Since f(x) is an exponential function and since exponents can be any number, there are no vertical asymptotes. There is a horizontal asymptote. As x approaches negative infinity the exponent of approaches negative infinity, too. And as the exponent approaches negative infinity value of approaches zero. And since approaches zero, f(x) approaches -3. So:
Horizontal asymptote: y = -3
Finding these for the inverse is easy since for the inverse, the x's and y's have traded places. So the inverse's intercepts will be the function's intercepts with the x's and y's trading places and the inverse's asymptote will be the function's asymptote with the x's and y's trading places:
function inverse
Y-intercept: (0, -47/16) X-intercept: (-47/16, 0)
X-intercept: ( , 0) Y-intercept: (0, )
Horizontal asymptote: y = -3 Vertical asymptote: x = -3
|
|
|