SOLUTION: I am trying to figure this out but not sure if I have the correct answer: 6X^2-21x-12/24x^2-6 I came up with the answer x-6/2(3x-1)

Algebra ->  Rational-functions -> SOLUTION: I am trying to figure this out but not sure if I have the correct answer: 6X^2-21x-12/24x^2-6 I came up with the answer x-6/2(3x-1)      Log On


   



Question 804494: I am trying to figure this out but not sure if I have the correct answer:
6X^2-21x-12/24x^2-6
I came up with the answer
x-6/2(3x-1)

Found 2 solutions by Alan3354, edjones:
Answer by Alan3354(69443) About Me  (Show Source):
You can put this solution on YOUR website!
6X^2-21x-12/24x^2-6
I came up with the answer
x-6/2(3x-1)
---------------------------
6X^2-21x-12/24x^2-6
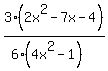
= 3%2A%282x%5E2+-+7x+-+4%29%2F%286%2A%284x%5E2+-+1%29%29
= %282x+%2B+1%29%2A%28x+-+4%29%2F%282%2A%282x-1%29%2A%282x%2B1%29%29
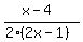
= %28x+-+4%29%2F%282%2A%282x-1%29%29

Answer by edjones(8007) About Me  (Show Source):
You can put this solution on YOUR website!
(6x^2-21x-12)/(24x^2-6) Don't forget the parentheses!
=(3(2x^2-7x-4))/(6(4x^2-1))
=(2x^2-7x-4)/(2(4x^2-1))
=((x-4)(2x+1))/(2(2x-1)(2x+1))
=(x-4)/(2(2x-1))
.
Ed