Question 799088: f(X)=x2-8X-6
thats x squared
what is the vertex
what is the x intercept
what is the axis symmetry
what is the graph look like
does it open up or down
Found 2 solutions by solver91311, MathLover1: Answer by solver91311(24713) (Show Source): Answer by MathLover1(20850) (Show Source):
You can put this solution on YOUR website! The standard form of a parabola's equation is generally expressed:

The role of ' '
if , the parabola opens 
if , it opens 
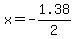
The axis of symmetry is the line
given:
...=> , , , and
so, since => , the parabola opens
The axis of symmetry is the line
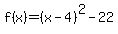
The vertex form of a parabola's equation is generally expressed as :
( , ) is the
..complete square
....=> and
so, ( , ) is the
the intercept: set and solve for
.........use quadratic formula
solutions:
or
so, the intercepts are ( , ) and ( , )
|
|
|