SOLUTION: I need help simplifying complex fraction: 8/x+11 -------- 1/6x-1 Thank you

Algebra ->  Rational-functions -> SOLUTION: I need help simplifying complex fraction: 8/x+11 -------- 1/6x-1 Thank you       Log On


   



Question 79722: I need help simplifying complex fraction:
8/x+11
--------
1/6x-1

Thank you

Answer by Edwin McCravy(20060) About Me  (Show Source):
You can put this solution on YOUR website!
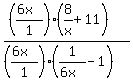
%288%2Fx%2B11%29%2F%281%2F%286x%29-1%29

Put parentheses around the top and the bottom:

%28%288%2Fx%2B11%29%29%2F%28%281%2F%286x%29-1%29%29

Multiply top and bottom by LCD %286x%2F1%29



Distribute the %286x%2F1%29 in the top and in the bottom:

+++++%28%286x%29%2F1%29+%288%2Fx%29+%2B+%28%286x%29%2F1%29+11%29
覧覧覧覧覧覧覧覧覧覧
+++++%28%286x%29%2F1%29+%281%2F%286x%29%29+-+%28%286x%29%2F1%29+1%29

Simplify the two terms in the top and
the two terms in the bottom:

%2848+%2B+66x%29%2F%281-6x%29

If you like you can factor out 6 on the
top as

%286%288%2B11x%29%29%2F%281-6x%29

but there is no reason to, because doing
so does not allow anything else to be
canceled.

Edwin