SOLUTION: Find an equation for the rational function which has a zero at x=2, a hole at x=7 and asymptotes at x=5 and y=4

Algebra ->  Rational-functions -> SOLUTION: Find an equation for the rational function which has a zero at x=2, a hole at x=7 and asymptotes at x=5 and y=4      Log On


   



Question 768480: Find an equation for the rational function which has a zero at x=2, a hole at x=7 and asymptotes at x=5 and y=4
Answer by josgarithmetic(39630) About Me  (Show Source):
You can put this solution on YOUR website!
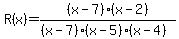
Zero at x=2 means numerator has x-2.
Hole at x=7 means numerator AND denominator has x-7.
Asymptotes x=5 and x=4 mean denominator also has x-4 and x-5.
Constant factors are also permitted but not necessary for your question.

Function R(x) can be R%28x%29=%28x-7%29%28x-2%29%2F%28%28x-7%29%28x-5%29%28x-4%29%29


-----------------
?
graph(450,450,-1,10,-1,19,(x-7)(x-2)/((x-7)(x-5)(x-4)))
I did have this shown, but it was not displaying correctly so I removed the bracket tags.