SOLUTION: (6y2 -6/ 8y2 +8y)/(3y -3 / 4y2 + 4y) The answer that I have gotten is y+y^2 but I was told that it was wrong. These were my steps: (6y2 -6/ 8y2 +8y)/(3y -3 / 4y2 + 4y) (6y2-6/8y

Algebra ->  Rational-functions -> SOLUTION: (6y2 -6/ 8y2 +8y)/(3y -3 / 4y2 + 4y) The answer that I have gotten is y+y^2 but I was told that it was wrong. These were my steps: (6y2 -6/ 8y2 +8y)/(3y -3 / 4y2 + 4y) (6y2-6/8y      Log On


   



Question 766899: (6y2 -6/ 8y2 +8y)/(3y -3 / 4y2 + 4y) The answer that I have gotten is y+y^2 but I was told that it was wrong. These were my steps:
(6y2 -6/ 8y2 +8y)/(3y -3 / 4y2 + 4y)
(6y2-6/8y2+8y)multiplication sign (4y2+4y/3y-3)
(2.3.y.y.-3.2/2.2.2.y.y+2.2.2.y).(2.2.y.y+2.2.y/3.y-3)
Then I cancelled out
and thought I ended up with
y+y^2

Answer by Alan3354(69443) About Me  (Show Source):
You can put this solution on YOUR website!
(6y2 -6/ 8y2 +8y)/(3y -3 / 4y2 + 4y) The answer that I have gotten is y+y^2 but I was told that it was wrong. These were my steps:
(6y2 -6/ 8y2 +8y)/(3y -3 / 4y2 + 4y)
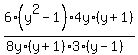
(6y2-6/8y2+8y)*(4y2+4y/3y-3)
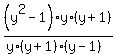
= 6%28y%5E2-1%29%2A4y%2A%28y%2B1%29%2F%288y%2A%28y%2B1%29%2A3%2A%28y-1%29%29
= %28y%5E2-1%29y%2A%28y%2B1%29%2F%28y%2A%28y%2B1%29%2A%28y-1%29%29
= %28y%5E2-1%29%2F%28%28y-1%29%29
= y+1
=================================
(2.3.y.y.-3.2/2.2.2.y.y+2.2.2.y).(2.2.y.y+2.2.y/3.y-3)
Then I cancelled out
and thought I ended up with
y+y^2