SOLUTION: State how many imaginary and real zeros the function has. f(x) = x3 + 5x2 + x + 5

Algebra ->  Rational-functions -> SOLUTION: State how many imaginary and real zeros the function has. f(x) = x3 + 5x2 + x + 5       Log On


   



Question 764822: State how many imaginary and real zeros the function has.
f(x) = x3 + 5x2 + x + 5

Answer by MathLover1(20850) About Me  (Show Source):
You can put this solution on YOUR website!
f%28x%29+=+x%5E3+%2B+5x%5E2+%2B+x+%2B+5...group terms

f%28x%29+=%28+x%5E3++%2B+x%29+%2B+%285x%5E2%2B+5%29...factor
f%28x%29+=x%28+x%5E2++%2B+1%29+%2B+5%28x%5E2%2B+1%29
f%28x%29+=%28x+%2B+5%29%28x%5E2%2B+1%29
solutions: use zero product rule
%28x+%2B+5%29%28x%5E2%2B+1%29=0
if %28x+%2B+5%29=0 => x=-5.....one real zero, means the line crosses x-axis at (-5,0)
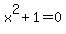
if x%5E2%2B+1=0 => x%5E2=-1.....=> x=sqrt%28-1%29=> x=i and x=-i...two imaginary zeros

+graph%28+600%2C+600%2C+-10%2C+10%2C+-10%2C+25%2C+%28x+%2B+5%29%28x%5E2%2B+1%29%29+