SOLUTION: i need to figure out the number of fish that are in the aquarium from 1month to a year p is the number of fish which is p(x)=90(1+1.5x)/1+0.5x one month after the fish is placed

Algebra ->  Rational-functions -> SOLUTION: i need to figure out the number of fish that are in the aquarium from 1month to a year p is the number of fish which is p(x)=90(1+1.5x)/1+0.5x one month after the fish is placed      Log On


   



Question 758389: i need to figure out the number of fish that are in the aquarium from 1month to a year p is the number of fish which is p(x)=90(1+1.5x)/1+0.5x
one month after the fish is placed in the aquarium what is the total number of fish
three months after the fish are first placed in the aquarium what is the total number of fish
six months after the fish are first \placed in the aquarium what is the total number of fish
one year after the fish are first placed in the aquarium what is the total number of fish

Answer by MathLover1(20850) About Me  (Show Source):
You can put this solution on YOUR website!
p%28x%29=90%281%2B1.5x%29%2F%281%2B0.5x%29
if x is the number of months+, you will have:


one month after the fish is placed in the aquarium:
x=1
p%281%29=90%281%2B1.5%2A1%29%2F%281%2B0.5%2A1%29
p%281%29=90%281%2B1.5%29%2F%281%2B0.5%29
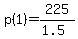
p%281%29=90%282.5%29%2F%281.5%29
p%281%29=225%2F%281.5%29
p%281%29=150%29....the total number of fish

three months after the fish are first placed in the aquarium what is the total number of fish
x=3
p%283%29=90%281%2B1.5%2A3%29%2F%281%2B0.5%2A3%29
p%283%29=90%281%2B4.5%29%2F%281%2B1.5%29
p%283%29=90%285.5%29%2F%282.5%29
p%283%29=495%2F%282.5%29
p%283%29=198%29.........the total number of fish

six months after the fish in the aquarium
x=6
p%286%29=90%281%2B1.5%2A6%29%2F%281%2B0.5%2A6%29
p%286%29=90%281%2B9%29%2F%281%2B3%29
p%286%29=90%2810%29%2F%284%29
p%286%29=900%2F4
p%286%29=225%29.......the total number of fish
one year after the fish are first placed in the aquarium

x=12
p%2812%29=90%281%2B1.5%2A12%29%2F%281%2B0.5%2A12%29
p%2812%29=90%281%2B18%29%2F%281%2B6%29
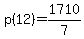
p%2812%29=90%2819%29%2F7
p%2812%29=1710%2F7
p%2812%29=244.29......since you can't have decimal number of the fish, round to whole number
p%2812%29=244........the total number of fish