SOLUTION: x+4 over 3x + 4y times 9x squard - 16y squared over 2x squared + 5x - 12

Algebra ->  Rational-functions -> SOLUTION: x+4 over 3x + 4y times 9x squard - 16y squared over 2x squared + 5x - 12      Log On


   



Question 74926: x+4 over 3x + 4y times 9x squard - 16y squared over 2x squared + 5x - 12
Answer by ankor@dixie-net.com(22740) About Me  (Show Source):
You can put this solution on YOUR website!
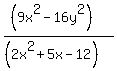
: x+4 over 3x + 4y times 9x squared - 16y squared over 2x squared + 5x - 12
:
%28%28x%2B4%29%29%2F%28%283x%2B4y%29%29 * %28%289x%5E2+-+16y%5E2%29%29%2F%28%282x%5E2+%2B+5x+-+12%29%29
:
We can factor the difference of squares and the quadratic, so we have:
%28%28x%2B4%29%29%2F%28%283x%2B4y%29%29 * %28%283x+-+4y%29%283x+%2B+4y%29%29%2F%28%282x+-+3%29%28x+%2B+4%29%29%29
:
Cancel out the (3x+4y) and the (x+4), you end up with:
%28%283x-4y%29%29%2F%28%282x-3%29%29
:
Did this make sense to you? Any questions?