SOLUTION: one zero of f(x)=x^4-3x^3-12x-16 is -2i. what are the other zeros of the function? I have NO clue how to solve this I think my calculator is needed which is a TI-83 PLUS but cla

Algebra ->  Rational-functions -> SOLUTION: one zero of f(x)=x^4-3x^3-12x-16 is -2i. what are the other zeros of the function? I have NO clue how to solve this I think my calculator is needed which is a TI-83 PLUS but cla      Log On


   



Question 731291: one zero of f(x)=x^4-3x^3-12x-16 is -2i. what are the other zeros of the function?
I have NO clue how to solve this I think my calculator is needed which is a TI-83 PLUS but clarification if needed on how to solve this problem! Thank you!

Answer by josgarithmetic(39620) About Me  (Show Source):
You can put this solution on YOUR website!
TWO of the roots are -2i and +2i. The -2i was given. The +2i is a root because complex roots to polynomial equations occur in conjugate pairs.


Using those two roots, find the corresponding quadratic factors of f(x), and use polynomial division to find the other quadratic factor.


%28x%2B2i%29%28x-2i%29=x%5E2-%282i%29%5E2=x^2-(-1)*4=highlight%28x%5E2%2B4%29
You want to divide x%5E4-3x%5E3-12x-16 by x%5E2%2B4. You should use the divisor in the form, x%5E2%2B0%2Ax%2B4.


The polynomial division, %28x%5E4-3x%5E3%2B0%2Ax%5E2-12x-16%29%2F%28x%5E2%2B0%2Ax%2B4%29=x%5E2-3x-4
and that quadratic polynomial is factorable into %28x%2B1%29%28x-4%29.


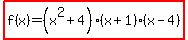
So the function is factorable into highlight%28f%28x%29=%28x%5E2%2B4%29%28x%2B1%29%28x-4%29%29. The roots found which were not given in the description but were asked for are -1 and +4.