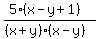
You can put this solution on YOUR website! You must have common denominators. +
Factor the second denominator +
Multiply the first fraction by (x-y)/(x-y) +
Distribute the 5 in the first numerator +
Combine the two fractions by adding the numerators
You can factor out a 5 from the numerator if your instructor wants you so go that far
You can put this solution on YOUR website! To simplify this expression, you can first note that is the difference
of two squares. Therefore, it factors into . Substitute these and
the problem becomes:
.
.
Notice that the first fraction lacks a (x-y) term in the denominator. If it had one, then
this first fraction could be combined with the second fraction because they both would have
the same denominator.
.
Let's multiply the first fraction by . Because the numerator is identical to
the denominator in this multiplier, it is equivalent to multiplying by 1. The multiplication
results in:
.
.
Since the two fractions now have a common denominator of their numerators
may be put over this common denominator to get:
.
.
Then, doing the multiplication in the numerator results in:
.
.
And factoring the common 5 in the numerator:
.
.
Hope this gives you some additional insight into working with fractional expressions.