SOLUTION: Simplify this expression and state any restrictions on the variables. Much appreciated! (x+1/x^2+2x-8) - (-x/4x-8)

Algebra ->  Rational-functions -> SOLUTION: Simplify this expression and state any restrictions on the variables. Much appreciated! (x+1/x^2+2x-8) - (-x/4x-8)      Log On


   



Question 717125: Simplify this expression and state any restrictions on the variables. Much appreciated!
(x+1/x^2+2x-8) - (-x/4x-8)

Answer by MathLover1(20850) About Me  (Show Source):
You can put this solution on YOUR website!

%28x%2B1%29%2F%28x%5E2%2B2x-8%29+-+%28-x%2F%284x-8%29%29
%28x%2B1%29%2F%28x%5E2%2B2x-8%29+%2Bx%2F4%28x-2%29.....factor x%5E2%2B2x-8...replace 2x with 4x-2x

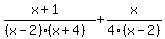
%28x%2B1%29%2F%28%28x-2%29%28x%2B4%29%29+%2Bx%2F4%28x-2%29...LCD is 4%28x-2%29%28x%2B4%29
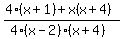
4%28x%2B1%29%2F%284%28x-2%29%28x%2B4%29%29+%2Bx%28x%2B4%29%2F%284%28x-2%29%28x%2B4%29%29

%284%28x%2B1%29+%2Bx%28x%2B4%29%29%2F%284%28x-2%29%28x%2B4%29%29

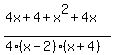
%284x%2B4+%2Bx%5E2%2B4x%29%2F%284%28x-2%29%28x%2B4%29%29

%28x%5E2%2B8x%2B4%29%2F%284%28x-2%29%28x%2B4%29%29

since denominator could not be equal to zero, restrictions on the variables are: