Question 711193: For questions 1–2, simplify the rational expression. State any restrictions on the variable
help PLEASE?
1.) p^2-4p-32/p+4
2.) q^2+ 11q +24/ q^2 -5q -24
Found 2 solutions by tutor_paul, dfvalen0223: Answer by tutor_paul(519) (Show Source): Answer by dfvalen0223(2) (Show Source):
You can put this solution on YOUR website! 1). We can factorize the numerator:

then, we recognize the coefficients, the form of a quadratic equations is:
so:

  
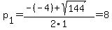
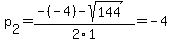
Now, we can use quadratic equations:
Solved by pluggable solver: SOLVE quadratic equation with variable |
Quadratic equation (in our case ) has the following solutons:

For these solutions to exist, the discriminant should not be a negative number.
First, we need to compute the discriminant : .
Discriminant d=144 is greater than zero. That means that there are two solutions: .


Quadratic expression can be factored:

Again, the answer is: 8, -4.
Here's your graph:
 |
roots are p=-4 and p = 8, so:
then:
the restriction on this is: -4 because indetermine the expresion with zero in the denominator and this trend to infinite.
2) Again, We can factorize the numerator:

  
Solved by pluggable solver: SOLVE quadratic equation with variable |
Quadratic equation (in our case ) has the following solutons:

For these solutions to exist, the discriminant should not be a negative number.
First, we need to compute the discriminant : .
Discriminant d=25 is greater than zero. That means that there are two solutions: .


Quadratic expression can be factored:

Again, the answer is: -3, -8.
Here's your graph:
 |
roots are q = -8 and q = -3, so:
too, We can factorize the denominator:

  
Solved by pluggable solver: SOLVE quadratic equation with variable |
Quadratic equation (in our case ) has the following solutons:

For these solutions to exist, the discriminant should not be a negative number.
First, we need to compute the discriminant : .
Discriminant d=121 is greater than zero. That means that there are two solutions: .


Quadratic expression can be factored:

Again, the answer is: 8, -3.
Here's your graph:
 |
roots are q = 8 and q = -3, so:
then:
the restriction on this is: 8 because indetermine the expresion with zero in the denominator and this trend to infinite.
Did you understand me?
|
|
|